Table of Contents MathBits.com Terms of Use TI-84+ Web Site
Evaluating Rational Expressions

The TI-Nspire non-CAS can evaluate rational expressions and display graphs of rational functions. Unfortunately, it cannot algebraically simplify rational expressions.
Let's take a look at how the calculator can help our work with rationals.

Example 1:
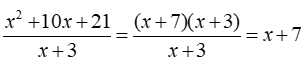
Given:

a) Evaluate the expression at x = 5.
Ans: 12
First, store 5 in the x-variable.
The calculator can find, or verify, the substitution for evaluating this expression.

b) Determine the domain of the expression.
Ans: All reals except x = -3.
First, store a possible troublesome value
(such as -3) in the x-variable.
The calculator can verify whether a value you pick creates
a zero denominator, by stating that the answer is "undefined" (undef).


a) The calculator shows that when 5 is substituted into the rational expression, the result is 12.

b) The calculator shows that our choice of x = -3
is a trouble spot. That choice creates a zero denominator causing the rational expression
to be undefined.

c) For what value of x will this expression equal zero?
Ans. x = -7
If the expression equals zero, then its graph will cross the x-axis at that value.
Algebraically:
The expression equals zero at x = -7 as the numerator equals 0, but the denominator does not equal zero.
But, at x = -3 while this value makes the numerator zero, it also makes the denominator 0, or undefined. So, x = -3 is not an option.


c) The TRACE command created the vertical
dotted line and produced the label in the lower
right corner (-3, undef).
This indicates a "hole" in the graph
at x = -3.
(See Rational Graphs for more details).

divider

Example 2:
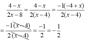
Given:

This expression is equivalent to which choice:
1) ½       2)       3) ¼       4)
Ans. Choice 2
This type of problem can be tricky to factor as it involves factoring out a negative one.
So, using our calculator for checking can verify that we did not make a mistake in our factoring.


First, store a value (not 4) in the x-variable.
Setting the rational expression EQUAL to one of the equivalent choices will indicate whether that choice is correct ("true"). From our first "check", we see that Choice 1) ½ is not the correct choice.
But Choice 2) -½ is the correct choice.

divider

CAS version: The CAS version of the calculator will be
capable of more in depth work with rational expressions.
TBA


divider
FTable of Contents | MathBits.com | Terms of Use